Situation étudiée
Pointages des positions du véhicule
Question⚓
Comme dans les activités précédentes, vous pouvez réaliser vous-mêmes les pointages des positions du véhicule au cours du mouvement.
Téléchargez et enregistrez sur votre ordinateur la vidéo du mouvement en cliquant ICI.
Comme dans les activités précédentes, utilisez Pymecavidéo pour réaliser les pointages de la position d'un des points du véhicule et enregistrez-les au format csv, et remplacez toutes les ',' par des '.' pour les traiter avec les programmes Python déjà utilisés.
Vous pouvez télécharger directement le fichiers de pointages dans la Solution de cette question.
Solution⚓
Téléchargez le fichier de pointages en cliquant ci-dessous.
Pointages de la position de la voiture en mouvement sur le plan incliné, puis sur le plan horizontal
Analyse à l'aide d'un programme Python
Question⚓
Vous pouvez utiliser votre Notebook dans Capytale s'il est fonctionnel.
Dans le cas contraire, un Notebook corrigé est à votre disposition, toujours dans Capytale, avec le code suivant : d65f-375809.
Si vous n'arrivez pas à tracer les vecteurs et variations de vitesses, vous pouvez cliquer sur Solution ci-dessous pour accéder à des exemples de résultats.
Solution⚓
Analyse des tracés
Question⚓
Faire le bilan des forces appliquées au véhicule dans les deux phases du mouvement (plan incliné et plan horizontal).
Que peut-on dire du vecteur vitesse instantanée dans chacune des phases ?
Même question pour le vecteur variation de vitesse \(\Delta \vec v\).
Comparez les direction, sens et norme des vecteurs \(\Delta \vec v\) et de la somme des forces appliquées au véhicule dans chacune des phases du mouvement.
Analysez les variations des différentes formes d'énergie en les reliant aux forces appliquées. Y a-t-il dissipation d'énergie mécanique ? Si oui, à quel(s) moment(s) particulier(s) du mouvement ?
Solution⚓
1. Lors de son mouvement, le véhicule est soumis à :
\(\vec P\) : son poids, vertical, dirigé vers le bas ;
\(\vec R\) : la réaction du support qu'on réduit à une force unique (elle s'applique sur chaque roue), orthogonale au support, dirigée vers le haut ;
\(\vec f\) : les forces de frottement exercées par le support et par l'air. On les réduit à une force unique par soucis de simplification. Cette force est tangente à la trajectoire, dans le sens opposé au mouvement.
Sur le plan incliné et sur le plan horizontal, cela correspond aux situations ci-dessous :
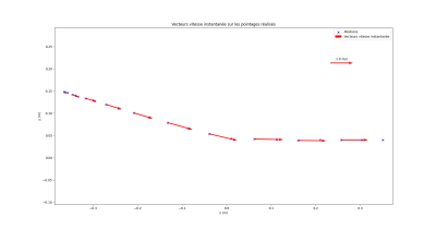
2. Dans la partie correspondant au plan incliné, le vecteur vitesse garde un sens et une directions constants. En revanche, sa norme augmente : la vitesse du véhicule est croissante.
Sur la portion horizontale, le vecteur vitesse semble constant, le mouvement est rectiligne uniforme.
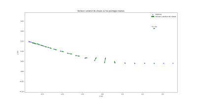
3. Sur le plan incliné, le vecteur variation de vitesse est constant en direction et sens. On peut aussi le considérer constant en norme. Il est dirigé dans le sens du mouvement : le mouvement est donc accéléré.
Dans la portion horizontale, le vecteur variation de vitesse est nul, caractéristique d'un mouvement rectiligne uniforme.
Dans la phase de transition entre le plan incliné et le plan horizontal, \(\Delta \vec v\), pointe vers le haut, traduisant le changement de direction du vecteur vitesse instantanée.
4. Dans la partie horizontale, \(\Delta \vec v=\vec 0\), donc on peut négliger les forces de frottement \(\vec f\).
Dans cette portion, \(\vec P + \vec R=\vec 0\), ce qui est cohérent avec un vecteur variation de vitesse nul.
Sur le plan incliné, en négligeant les forces de frottement, la somme des forces appliquées \(\vec P + \vec R\) pointe dans le sens du mouvement. On a donc colinéarité entre la somme de ces forces et le vecteur variation de vitesse instantanée.
5. On constate que l'énergie mécanique est constante dans la première phase du mouvement. Ce qui vient justifier qu'on peut négliger les frottements dans cette phase.
Lors du passage du plan incliné au plan horizontal, on note une dissipation d'énergie mécanique faible, mais significative (au-delà des fluctuations dues aux imprécisions de pointages).
Dans la partie horizontale, l'énergie mécanique semble diminuer légèrement, les frottements ne seraient à priori pas négligeables dans cette phase, ce qui n'était pas identifiable avec le vecteur \(\Delta \vec v\).






